対数表を使った計算方法について
電卓やコンピュータがなかった時代、 人々はどのようにして計算を行っていたのでしょうか。
いまでは、スマートフォンで一瞬です。
のような計算も、ボタンを押せばすぐに答えが出ます。
しかし、電卓もコンピュータもなかった時代、 こうした計算はすべて手で行う必要がありました。
天文学、航海、土木。 巨大な数を扱うこれらの分野では、 計算そのものが大きな負担でした。
では昔の人は、どうやってこの問題を解決したのでしょうか。
その答えが、対数です。
1. 掛け算を足し算に変えるという発想
対数の本質は、とてもシンプルです。
つまり、
掛け算を、足し算に変えることができる
ということです。
同様に、
なので、割り算は引き算に変わります。
これらの性質について理解したい方はこちらをご覧ください。
一見するとただの式ですが、 これは当時としては革命的なアイデアでした。
なぜなら、
- 掛け算 → 面倒
- 足し算 → 比較的簡単
だからです。
難しい計算を、簡単な計算に置き換える。 これが対数の役割です。
2. 実際の計算方法(対数表)
では実際に、どうやって計算していたのでしょうか。
ここで登場するのが対数表です。

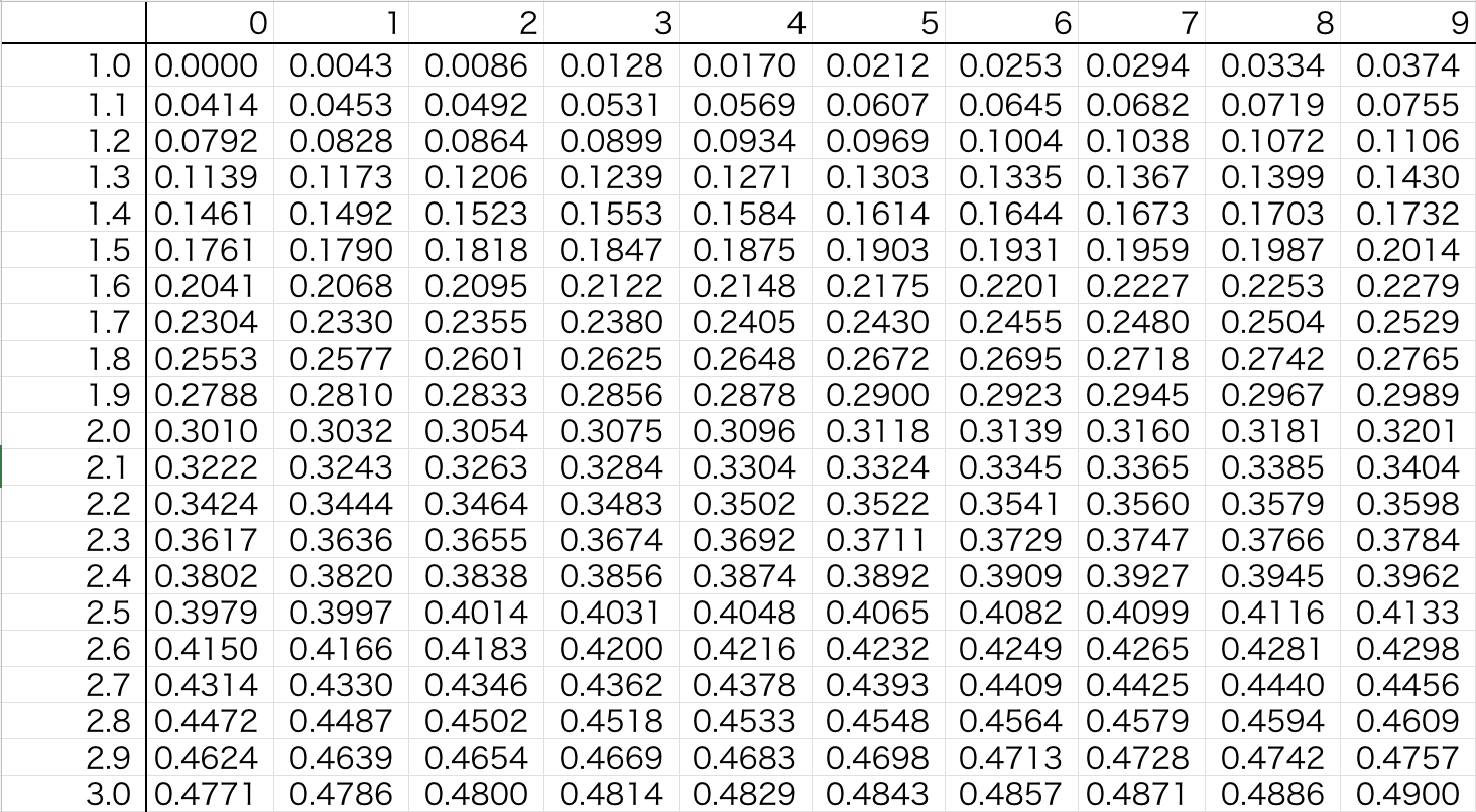
数値に対応する対数が、あらかじめ表にまとめられています。 この表では、たとえば「1.2 行」と「3 列」を見ることで、 の値を読み取ることができます。
例:大きな数の掛け算
たとえば次のような計算を考えます。
これでもまだ、時間をかければ筆算で計算できます。
では、こうなるとどうでしょうか。
7桁どうしの掛け算です。
これを筆算でやろうとすると、
- 7回の掛け算の繰り返し
- 複雑な繰り上がり
- 計算ミスのリスク
が一気に増えます。
しかも天文学や航海では、 このような計算を何度も繰り返す必要がありました。
対数を使った計算
対数を使うと、この掛け算は次のように変形されます。
つまり、足し算1回だけで済みます。
実際に近似値を使うと、
これらを足すと
この値に対応する数(真数)を表から調べると、
となります。
これは約 21 兆に相当する値です。
何が起きているのか
ここでやっていることを整理すると、
- 数を対数に変換する
- 足し算する
- 元の数に戻す
という3ステップだけです。
つまり、
複雑な掛け算を、 「表を引いて足すだけ」の作業に変えている
ということです。
なぜこれで十分だったのか
ここで重要なのは、
1の位まで完全に正確であることよりも、 現実的な時間で計算できること
でした。
実際の天文学では、
- 三角関数
- 指数
- 非常に大きな数
が絡む計算を、何百回も行う必要がありました。
そのたびに筆算をしていては、 時間も労力も足りません。
対数は、
「人間が扱える計算量」に問題を落とし込むための道具
だったのです。
3. 計算を“手で動かす”道具:計算尺
対数の考え方は、さらに進化します。
それが計算尺です。
計算尺は、
- 対数の目盛りが刻まれた定規
- それをスライドさせることで計算する
という道具です。
原理は対数と同じで、
- 長さの足し算 = 対数の足し算
- つまり掛け算になる
という仕組みです。
実際には、
- 2本の目盛りをずらすだけで掛け算
- 逆方向に動かせば割り算
ができます。
以下のミニ計算尺で、実際に目盛りがどう動くか試してみてください。
この道具は20世紀後半まで使われており、 アポロ計画の技術者たちも使用していました。
まとめ
電卓のない時代、
- 掛け算は大きな負担だった
- それを解決したのが対数
- 対数表や計算尺によって、計算は劇的に効率化された
という流れを見てきました。
いま私たちは、計算を「一瞬」で終わらせています。
しかしその裏には、
計算をどう簡単にするかを考え抜いた人たちの工夫
があります。
対数は、単なる数学の公式ではなく、 人間の知恵が生み出した道具だったのです。